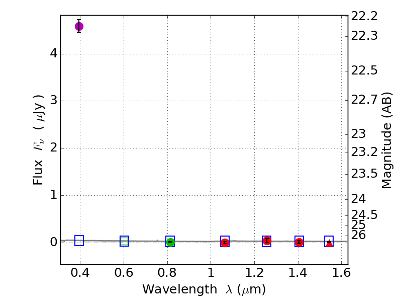
RXS0603+42-S IR detection object #6839

Color images and BPZ results
Catalog: 6839.cat
Black segments are analyzed here.   Roll mouse over color images to view segments.
Best viewed in a wide browser window (1200 pixels or more).   Download SED & P(z) plots to view larger versions.
In P(z) plots: Yellow lines mark the cluster redshift z = 0.228,  

Object #6839   x,y = (2608, 1209)   RA, Dec = (06:03:25.824, 42:08:38.76) = (90.85760, 42.14410)   BPZ = 1.697 [0.615--2.596]   type = 11.00 (SB11_A_0_l)   stellarity = 1.00   chisq2 = 373.50   ODDS = 0.28   z_cluster = 0.228