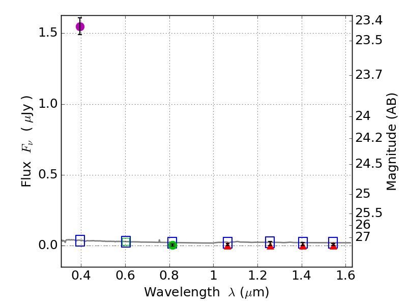
RXS0603+42-S IR detection object #6792

Color images and BPZ results
Catalog: 6792.cat
Black segments are analyzed here.   Roll mouse over color images to view segments.
Best viewed in a wide browser window (1200 pixels or more).   Download SED & P(z) plots to view larger versions.
In P(z) plots: Yellow lines mark the cluster redshift z = 0.228,  

Object #6792   x,y = (2470, 1233)   RA, Dec = (06:03:26.592, 42:08:40.20) = (90.86080, 42.14450)   BPZ = 1.700 [1.004--2.388]   type = 11.00 (SB11_A_0_l)   stellarity = 0.71   chisq2 = 229.70   ODDS = 0.38   z_cluster = 0.228