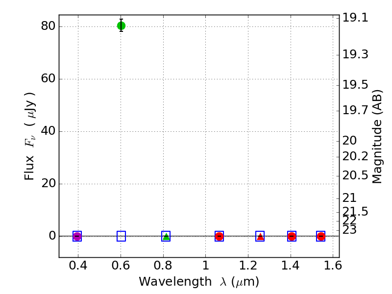
RXS0603+42-S IR detection object #6739

Color images and BPZ results
Catalog: 6739.cat
Black segments are analyzed here.   Roll mouse over color images to view segments.
Best viewed in a wide browser window (1200 pixels or more).   Download SED & P(z) plots to view larger versions.
In P(z) plots: Yellow lines mark the cluster redshift z = 0.228,  

Object #6739   x,y = (2772, 1259)   RA, Dec = (06:03:24.960, 42:08:42.00) = (90.85400, 42.14500)   BPZ = 0.387 [0.048--0.867]   type = 7.00 (Scd_B10)   stellarity = 1.00   chisq2 = 287.60   ODDS = 0.20   z_cluster = 0.228