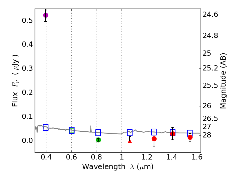
RXS0603+42-S IR detection object #6724

Color images and BPZ results
Catalog: 6724.cat
Black segments are analyzed here.   Roll mouse over color images to view segments.
Best viewed in a wide browser window (1200 pixels or more).   Download SED & P(z) plots to view larger versions.
In P(z) plots: Yellow lines mark the cluster redshift z = 0.228,  

Object #6724   x,y = (2455, 1267)   RA, Dec = (06:03:26.664, 42:08:42.36) = (90.86110, 42.14510)   BPZ = 1.698 [1.448--2.094]   type = 11.00 (SB11_A_0_l)   stellarity = 0.78   chisq2 = 101.60   ODDS = 0.56   z_cluster = 0.228