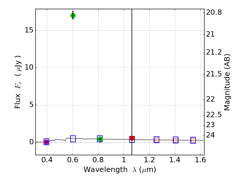
RXS0603+42-S IR detection object #6709

Color images and BPZ results
Catalog: 6709.cat
Black segments are analyzed here.   Roll mouse over color images to view segments.
Best viewed in a wide browser window (1200 pixels or more).   Download SED & P(z) plots to view larger versions.
In P(z) plots: Yellow lines mark the cluster redshift z = 0.228,  

Object #6709   x,y = (2855, 1218)   RA, Dec = (06:03:24.504, 42:08:39.48) = (90.85210, 42.14430)   BPZ = 3.485 [3.327--3.710]   type = 11.00 (SB11_A_0_l)   stellarity = 0.86   chisq2 = 1085.00   ODDS = 0.93   z_cluster = 0.228