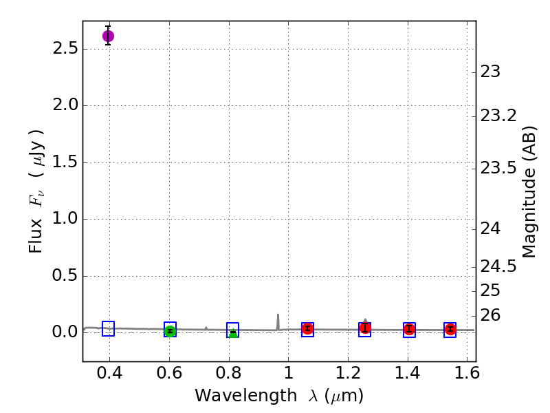
RXS0603+42-S IR detection object #6661

Color images and BPZ results
Catalog: 6661.cat
Black segments are analyzed here.   Roll mouse over color images to view segments.
Best viewed in a wide browser window (1200 pixels or more).   Download SED & P(z) plots to view larger versions.
In P(z) plots: Yellow lines mark the cluster redshift z = 0.228,  

Object #6661   x,y = (3554, 1285)   RA, Dec = (06:03:20.736, 42:08:43.44) = (90.83640, 42.14540)   BPZ = 1.592 [1.004--2.331]   type = 11.00 (SB11_A_0_l)   stellarity = 0.99   chisq2 = 244.50   ODDS = 0.27   z_cluster = 0.228