RXS0603+42-S IR detection object #6603

Color images and BPZ results
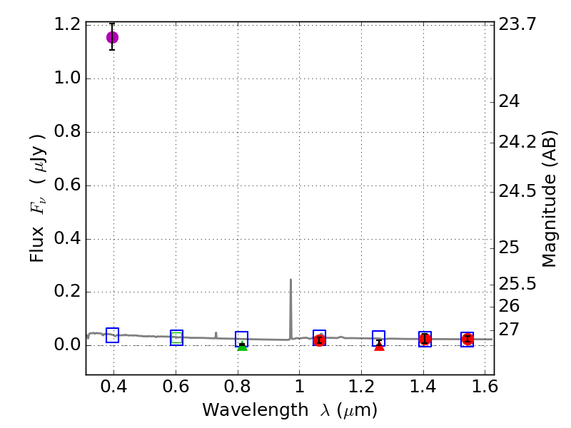
Catalog: 6603.cat
Black segments are analyzed here.   Roll mouse over color images to view segments.
Best viewed in a wide browser window (1200 pixels or more).   Download SED & P(z) plots to view larger versions.
In P(z) plots: Yellow lines mark the cluster redshift z = 0.228,  

Object #6603   x,y = (2236, 1319)   RA, Dec = (06:03:27.840, 42:08:45.60) = (90.86600, 42.14600)   BPZ = 1.611 [1.191--2.265]   type = 11.00 (SB11_A_0_l)   stellarity = 0.94   chisq2 = 177.30   ODDS = 0.31   z_cluster = 0.228