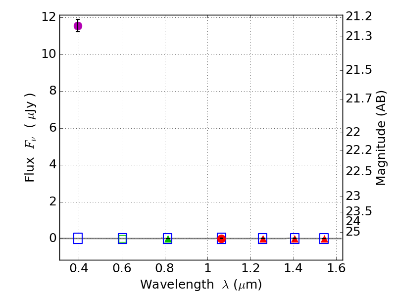
RXS0603+42-S IR detection object #6568

Color images and BPZ results
Catalog: 6568.cat
Black segments are analyzed here.   Roll mouse over color images to view segments.
Best viewed in a wide browser window (1200 pixels or more).   Download SED & P(z) plots to view larger versions.
In P(z) plots: Yellow lines mark the cluster redshift z = 0.228,  

Object #6568   x,y = (2186, 1335)   RA, Dec = (06:03:28.104, 42:08:46.32) = (90.86710, 42.14620)   BPZ = 1.112 [0.303--8.052]   type = 11.00 (SB11_A_0_l)   stellarity = 0.92   chisq2 = 382.80   ODDS = 0.05   z_cluster = 0.228