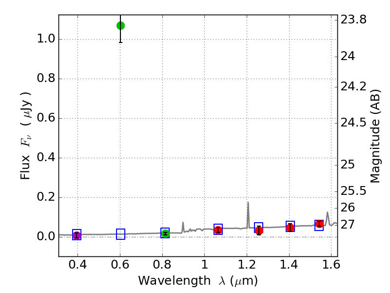
RXS0603+42-S IR detection object #6550

Color images and BPZ results
Catalog: 6550.cat
Black segments are analyzed here.   Roll mouse over color images to view segments.
Best viewed in a wide browser window (1200 pixels or more).   Download SED & P(z) plots to view larger versions.
In P(z) plots: Yellow lines mark the cluster redshift z = 0.228,  

Object #6550   x,y = (2422, 1320)   RA, Dec = (06:03:26.832, 42:08:45.60) = (90.86180, 42.14600)   BPZ = 1.414 [0.533--3.266]   type = 8.10 (SB1_B10 - SB2_B10)   stellarity = 0.65   chisq2 = 36.37   ODDS = 0.10   z_cluster = 0.228