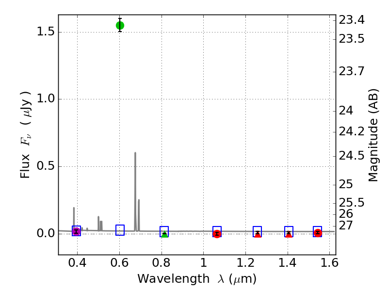
RXS0603+42-S IR detection object #6542

Color images and BPZ results
Catalog: 6542.cat
Black segments are analyzed here.   Roll mouse over color images to view segments.
Best viewed in a wide browser window (1200 pixels or more).   Download SED & P(z) plots to view larger versions.
In P(z) plots: Yellow lines mark the cluster redshift z = 0.228,  

Object #6542   x,y = (2496, 1349)   RA, Dec = (06:03:26.448, 42:08:47.40) = (90.86020, 42.14650)   BPZ = 0.030 [0.014--2.964]   type = 11.00 (SB11_A_0_l)   stellarity = 0.65   chisq2 = 245.20   ODDS = 0.32   z_cluster = 0.228