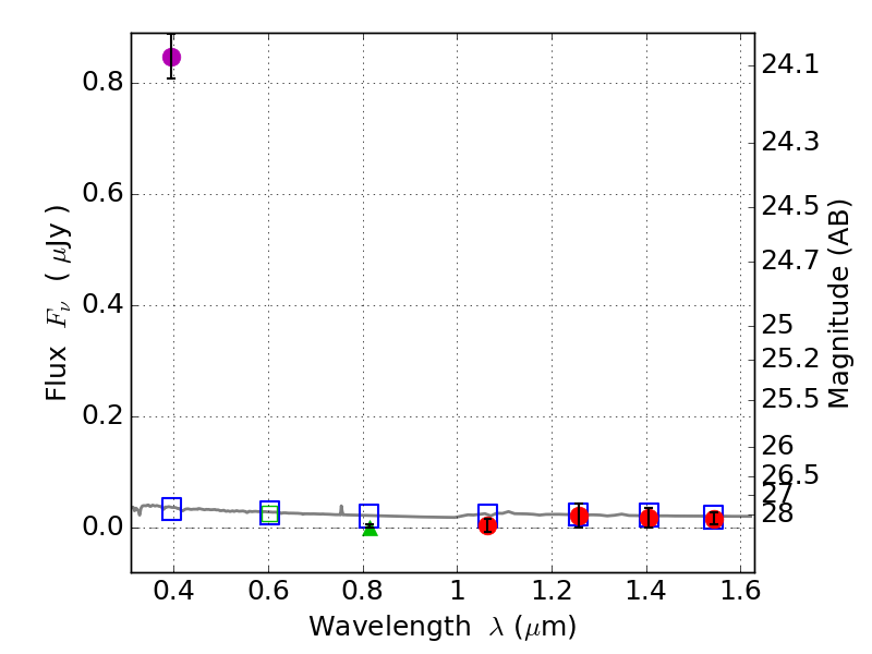
RXS0603+42-S IR detection object #6529

Color images and BPZ results
Catalog: 6529.cat
Black segments are analyzed here.   Roll mouse over color images to view segments.
Best viewed in a wide browser window (1200 pixels or more).   Download SED & P(z) plots to view larger versions.
In P(z) plots: Yellow lines mark the cluster redshift z = 0.228,  

Object #6529   x,y = (2117, 1352)   RA, Dec = (06:03:28.488, 42:08:47.40) = (90.86870, 42.14650)   BPZ = 1.697 [1.100--2.375]   type = 11.00 (SB11_A_0_l)   stellarity = 0.91   chisq2 = 134.80   ODDS = 0.34   z_cluster = 0.228