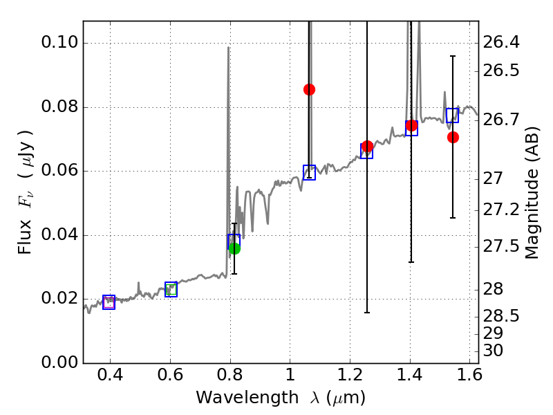
RXS0603+42-S IR detection object #6506

Color images and BPZ results
Catalog: 6506.cat
Black segments are analyzed here.   Roll mouse over color images to view segments.
Best viewed in a wide browser window (1200 pixels or more).   Download SED & P(z) plots to view larger versions.
In P(z) plots: Yellow lines mark the cluster redshift z = 0.228,  

Object #6506   x,y = (1672, 1338)   RA, Dec = (06:03:30.888, 42:08:46.68) = (90.87870, 42.14630)   BPZ = 1.126 [0.287--5.642]   type = 8.70 (SB2_B10 - SB1_B10)   stellarity = 0.00   chisq2 = 0.49   ODDS = 0.09   z_cluster = 0.228