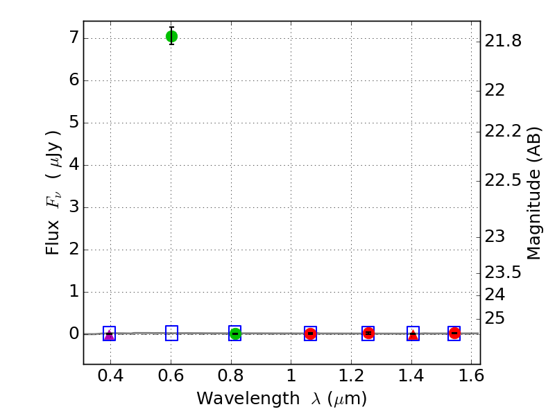
RXS0603+42-S IR detection object #6500

Color images and BPZ results
Catalog: 6500.cat
Black segments are analyzed here.   Roll mouse over color images to view segments.
Best viewed in a wide browser window (1200 pixels or more).   Download SED & P(z) plots to view larger versions.
In P(z) plots: Yellow lines mark the cluster redshift z = 0.228,  

Object #6500   x,y = (2446, 1363)   RA, Dec = (06:03:26.712, 42:08:48.12) = (90.86130, 42.14670)   BPZ = 2.871 [0.241--4.568]   type = 11.00 (SB11_A_0_l)   stellarity = 0.93   chisq2 = 286.10   ODDS = 0.10   z_cluster = 0.228