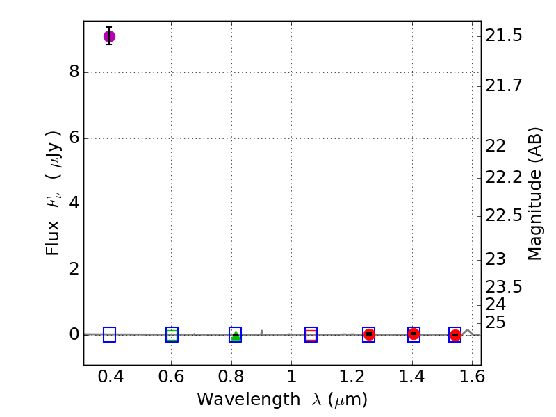
RXS0603+42-S IR detection object #6477

Color images and BPZ results
Catalog: 6477.cat
Black segments are analyzed here.   Roll mouse over color images to view segments.
Best viewed in a wide browser window (1200 pixels or more).   Download SED & P(z) plots to view larger versions.
In P(z) plots: Yellow lines mark the cluster redshift z = 0.228,  

Object #6477   x,y = (2046, 1383)   RA, Dec = (06:03:28.872, 42:08:49.20) = (90.87030, 42.14700)   BPZ = 1.419 [0.323--6.932]   type = 11.00 (SB11_A_0_l)   stellarity = 0.90   chisq2 = 574.00   ODDS = 0.09   z_cluster = 0.228