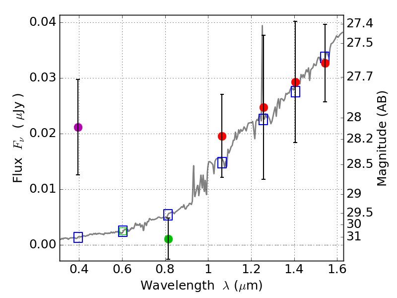
RXS0603+42-S IR detection object #6469

Color images and BPZ results
Catalog: 6469.cat
Black segments are analyzed here.   Roll mouse over color images to view segments.
Best viewed in a wide browser window (1200 pixels or more).   Download SED & P(z) plots to view larger versions.
In P(z) plots: Yellow lines mark the cluster redshift z = 0.228,  

Object #6469   x,y = (2185, 1385)   RA, Dec = (06:03:28.128, 42:08:49.56) = (90.86720, 42.14710)   BPZ = 1.499 [1.008--8.057]   type = 6.30 (Sbc_B10 - Scd_B10)   stellarity = 0.35   chisq2 = 2.13   ODDS = 0.11   z_cluster = 0.228