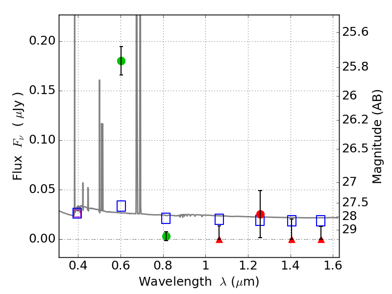
RXS0603+42-S IR detection object #6447

Color images and BPZ results
Catalog: 6447.cat
Black segments are analyzed here.   Roll mouse over color images to view segments.
Best viewed in a wide browser window (1200 pixels or more).   Download SED & P(z) plots to view larger versions.
In P(z) plots: Yellow lines mark the cluster redshift z = 0.228,  

Object #6447   x,y = (3709, 1397)   RA, Dec = (06:03:19.896, 42:08:50.28) = (90.83290, 42.14730)   BPZ = 0.026 [0.016--3.324]   type = 11.00 (SB11_A_0_l)   stellarity = 0.96   chisq2 = 40.49   ODDS = 0.20   z_cluster = 0.228