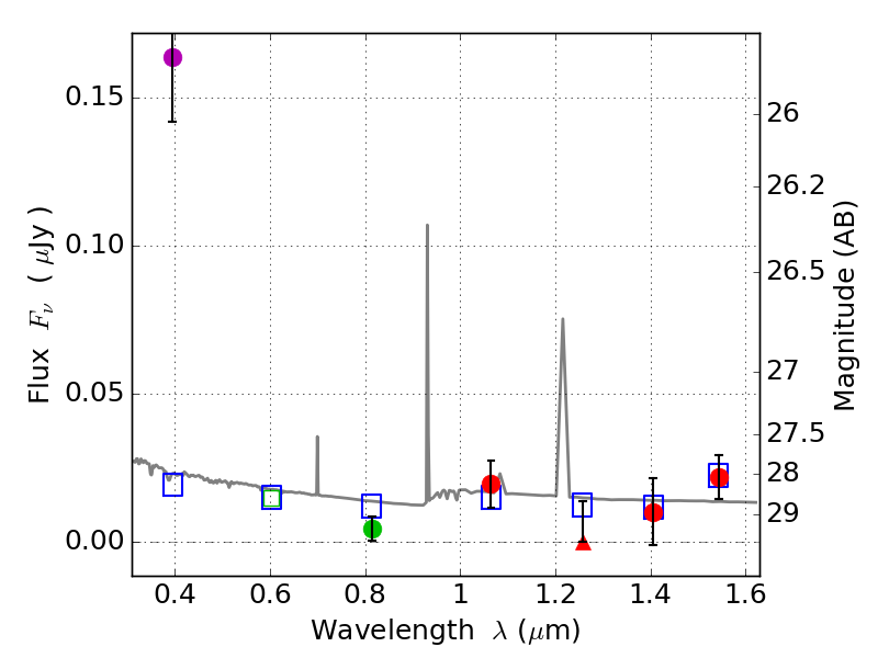
RXS0603+42-S IR detection object #6445

Color images and BPZ results
Catalog: 6445.cat
Black segments are analyzed here.   Roll mouse over color images to view segments.
Best viewed in a wide browser window (1200 pixels or more).   Download SED & P(z) plots to view larger versions.
In P(z) plots: Yellow lines mark the cluster redshift z = 0.228,  

Object #6445   x,y = (1961, 1398)   RA, Dec = (06:03:29.328, 42:08:50.28) = (90.87220, 42.14730)   BPZ = 1.496 [0.622--3.533]   type = 11.00 (SB11_A_0_l)   stellarity = 0.90   chisq2 = 15.82   ODDS = 0.19   z_cluster = 0.228