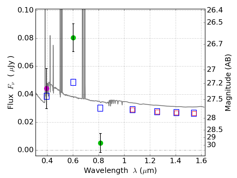
RXS0603+42-S IR detection object #643

Color images and BPZ results
Catalog: 643.cat
Black segments are analyzed here.   Roll mouse over color images to view segments.
Best viewed in a wide browser window (1200 pixels or more).   Download SED & P(z) plots to view larger versions.
In P(z) plots: Yellow lines mark the cluster redshift z = 0.228,  

Object #643   x,y = (2067, 4080)   RA, Dec = (06:03:28.752, 42:11:31.20) = (90.86980, 42.19200)   BPZ = 0.027 [0.026--2.822]   type = 11.00 (SB11_A_0_l)   stellarity = 0.36   chisq2 = 20.53   ODDS = 0.06   z_cluster = 0.228