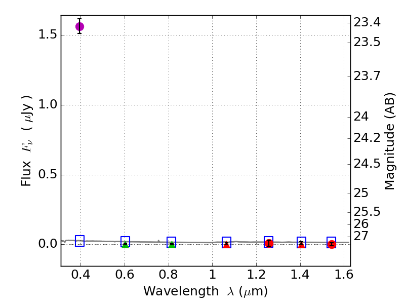
RXS0603+42-S IR detection object #6422

Color images and BPZ results
Catalog: 6422.cat
Black segments are analyzed here.   Roll mouse over color images to view segments.
Best viewed in a wide browser window (1200 pixels or more).   Download SED & P(z) plots to view larger versions.
In P(z) plots: Yellow lines mark the cluster redshift z = 0.228,  

Object #6422   x,y = (3500, 1409)   RA, Dec = (06:03:21.024, 42:08:51.00) = (90.83760, 42.14750)   BPZ = 1.699 [0.731--2.564]   type = 11.00 (SB11_A_0_l)   stellarity = 0.66   chisq2 = 224.50   ODDS = 0.32   z_cluster = 0.228