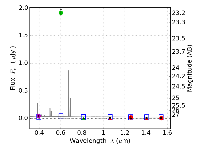
RXS0603+42-S IR detection object #6406

Color images and BPZ results
Catalog: 6406.cat
Black segments are analyzed here.   Roll mouse over color images to view segments.
Best viewed in a wide browser window (1200 pixels or more).   Download SED & P(z) plots to view larger versions.
In P(z) plots: Yellow lines mark the cluster redshift z = 0.228,  

Object #6406   x,y = (2287, 1415)   RA, Dec = (06:03:27.576, 42:08:51.36) = (90.86490, 42.14760)   BPZ = 0.027 [0.012--2.676]   type = 11.00 (SB11_A_0_l)   stellarity = 0.73   chisq2 = 252.70   ODDS = 0.57   z_cluster = 0.228