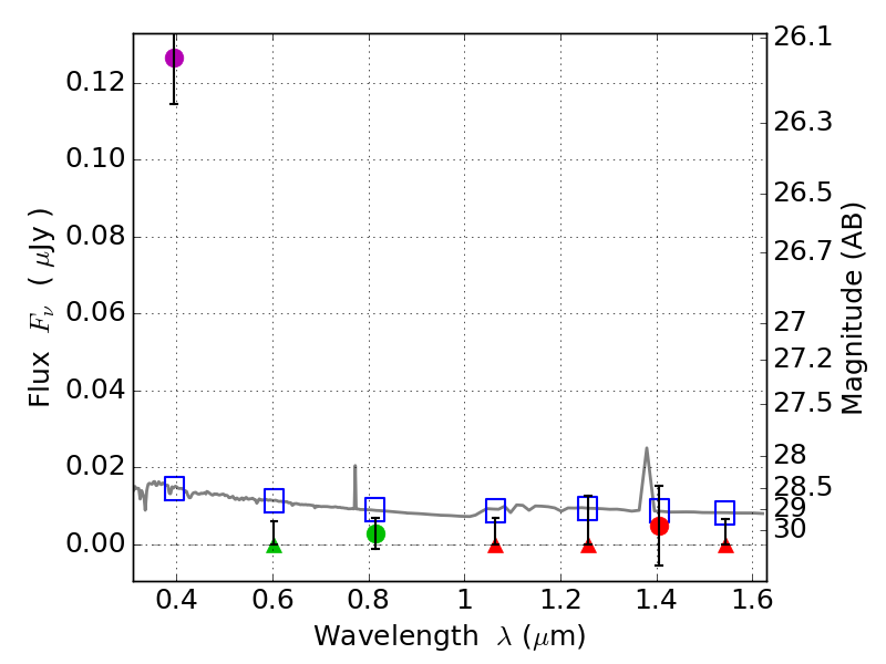
RXS0603+42-S IR detection object #6371

Color images and BPZ results
Catalog: 6371.cat
Black segments are analyzed here.   Roll mouse over color images to view segments.
Best viewed in a wide browser window (1200 pixels or more).   Download SED & P(z) plots to view larger versions.
In P(z) plots: Yellow lines mark the cluster redshift z = 0.228,  

Object #6371   x,y = (2852, 1438)   RA, Dec = (06:03:24.504, 42:08:52.80) = (90.85210, 42.14800)   BPZ = 1.763 [0.555--2.942]   type = 11.00 (SB11_A_0_l)   stellarity = 0.70   chisq2 = 23.69   ODDS = 0.25   z_cluster = 0.228