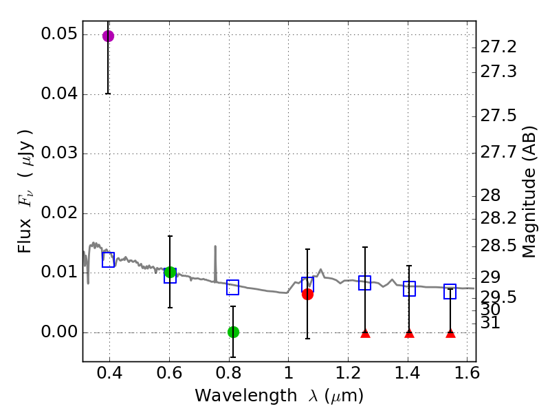
RXS0603+42-S IR detection object #6342

Color images and BPZ results
Catalog: 6342.cat
Black segments are analyzed here.   Roll mouse over color images to view segments.
Best viewed in a wide browser window (1200 pixels or more).   Download SED & P(z) plots to view larger versions.
In P(z) plots: Yellow lines mark the cluster redshift z = 0.228,  

Object #6342   x,y = (3066, 1458)   RA, Dec = (06:03:23.352, 42:08:53.88) = (90.84730, 42.14830)   BPZ = 1.703 [0.388--5.964]   type = 11.00 (SB11_A_0_l)   stellarity = 0.38   chisq2 = 4.88   ODDS = 0.16   z_cluster = 0.228