RXS0603+42-S IR detection object #6329

Color images and BPZ results
Catalog: 6329.cat
Black segments are analyzed here.   Roll mouse over color images to view segments.
Best viewed in a wide browser window (1200 pixels or more).   Download SED & P(z) plots to view larger versions.
In P(z) plots: Yellow lines mark the cluster redshift z = 0.228,  

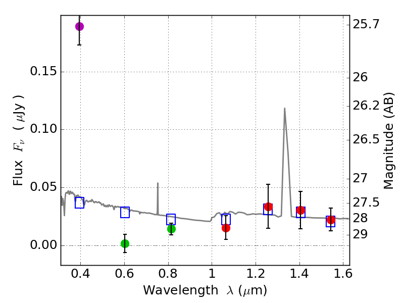
Object #6329   x,y = (3530, 1464)   RA, Dec = (06:03:20.856, 42:08:54.24) = (90.83690, 42.14840)   BPZ = 1.694 [1.018--2.187]   type = 11.00 (SB11_A_0_l)   stellarity = 0.81   chisq2 = 24.44   ODDS = 0.38   z_cluster = 0.228