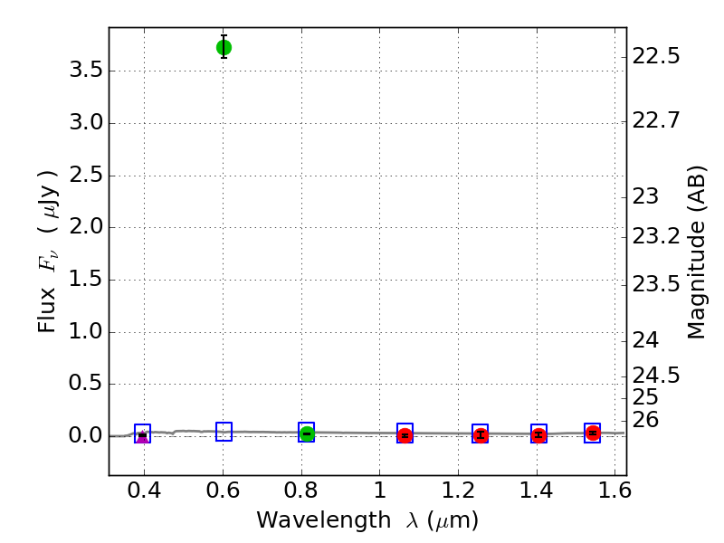
RXS0603+42-S IR detection object #6289

Color images and BPZ results
Catalog: 6289.cat
Black segments are analyzed here.   Roll mouse over color images to view segments.
Best viewed in a wide browser window (1200 pixels or more).   Download SED & P(z) plots to view larger versions.
In P(z) plots: Yellow lines mark the cluster redshift z = 0.228,  

Object #6289   x,y = (2063, 1472)   RA, Dec = (06:03:28.776, 42:08:54.60) = (90.86990, 42.14850)   BPZ = 2.899 [0.053--3.683]   type = 11.00 (SB11_A_0_l)   stellarity = 0.86   chisq2 = 279.10   ODDS = 0.29   z_cluster = 0.228