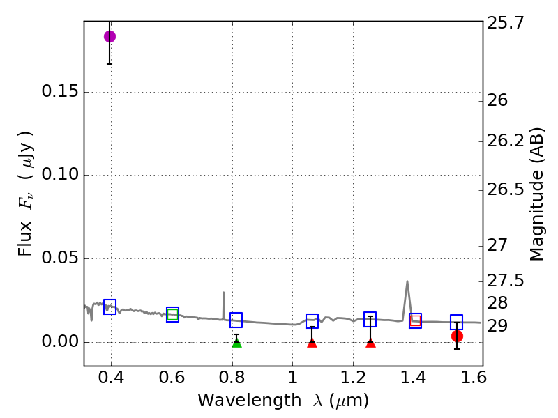
RXS0603+42-S IR detection object #6278

Color images and BPZ results
Catalog: 6278.cat
Black segments are analyzed here.   Roll mouse over color images to view segments.
Best viewed in a wide browser window (1200 pixels or more).   Download SED & P(z) plots to view larger versions.
In P(z) plots: Yellow lines mark the cluster redshift z = 0.228,  

Object #6278   x,y = (1813, 1480)   RA, Dec = (06:03:30.120, 42:08:54.96) = (90.87550, 42.14860)   BPZ = 1.762 [0.700--2.941]   type = 11.00 (SB11_A_0_l)   stellarity = 0.71   chisq2 = 51.67   ODDS = 0.28   z_cluster = 0.228