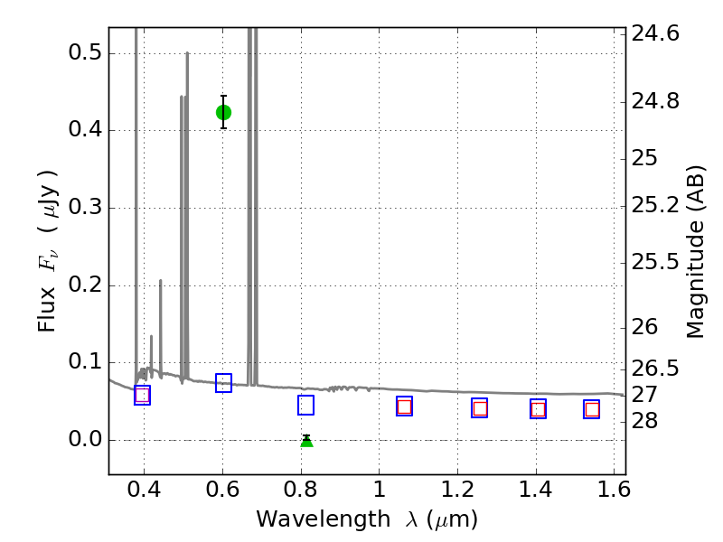
RXS0603+42-S IR detection object #6275

Color images and BPZ results
Catalog: 6275.cat
Black segments are analyzed here.   Roll mouse over color images to view segments.
Best viewed in a wide browser window (1200 pixels or more).   Download SED & P(z) plots to view larger versions.
In P(z) plots: Yellow lines mark the cluster redshift z = 0.228,  

Object #6275   x,y = (3727, 1475)   RA, Dec = (06:03:19.800, 42:08:54.96) = (90.83250, 42.14860)   BPZ = 0.020 [0.010--0.044]   type = 11.00 (SB11_A_0_l)   stellarity = 0.65   chisq2 = 303.40   ODDS = 1.00   z_cluster = 0.228