RXS0603+42-S IR detection object #6269

Color images and BPZ results
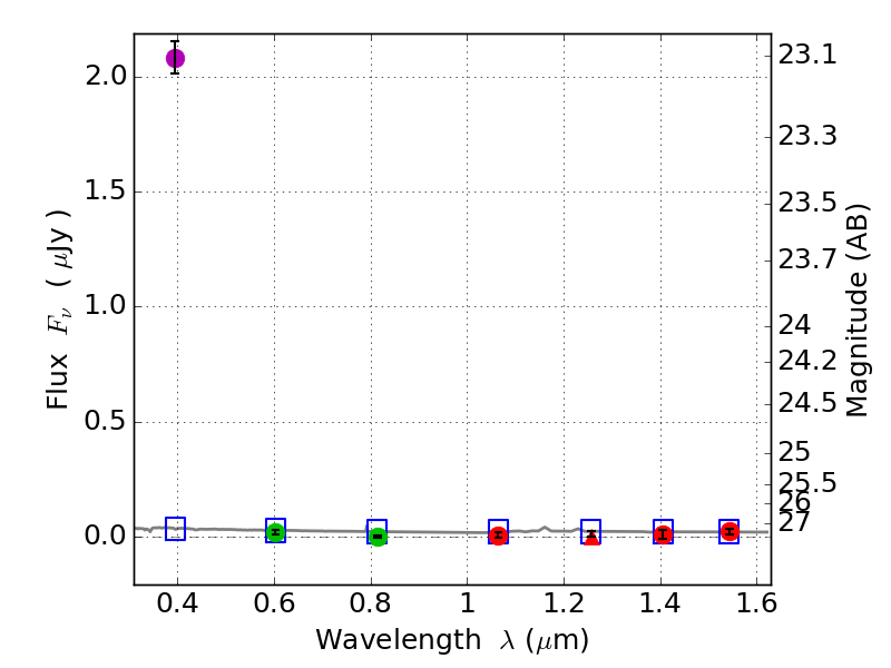
Catalog: 6269.cat
Black segments are analyzed here.   Roll mouse over color images to view segments.
Best viewed in a wide browser window (1200 pixels or more).   Download SED & P(z) plots to view larger versions.
In P(z) plots: Yellow lines mark the cluster redshift z = 0.228,  

Object #6269   x,y = (3584, 1477)   RA, Dec = (06:03:20.568, 42:08:54.96) = (90.83570, 42.14860)   BPZ = 1.826 [1.154--2.387]   type = 11.00 (SB11_A_0_l)   stellarity = 0.94   chisq2 = 227.10   ODDS = 0.30   z_cluster = 0.228