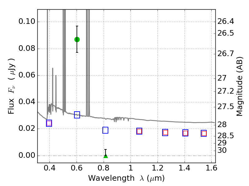
RXS0603+42-S IR detection object #6247

Color images and BPZ results
Catalog: 6247.cat
Black segments are analyzed here.   Roll mouse over color images to view segments.
Best viewed in a wide browser window (1200 pixels or more).   Download SED & P(z) plots to view larger versions.
In P(z) plots: Yellow lines mark the cluster redshift z = 0.228,  

Object #6247   x,y = (3720, 1490)   RA, Dec = (06:03:19.824, 42:08:55.68) = (90.83260, 42.14880)   BPZ = 0.027 [0.024--3.178]   type = 11.00 (SB11_A_0_l)   stellarity = 0.74   chisq2 = 45.35   ODDS = 0.08   z_cluster = 0.228