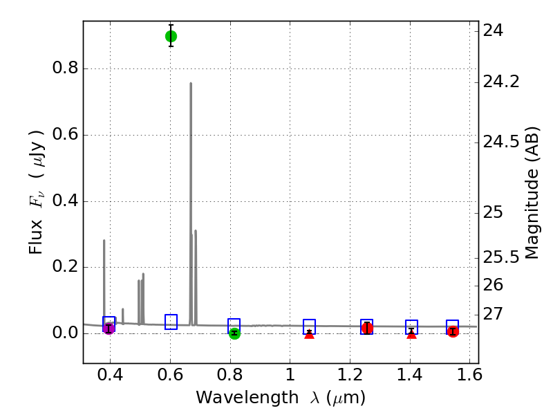
RXS0603+42-S IR detection object #6221

Color images and BPZ results
Catalog: 6221.cat
Black segments are analyzed here.   Roll mouse over color images to view segments.
Best viewed in a wide browser window (1200 pixels or more).   Download SED & P(z) plots to view larger versions.
In P(z) plots: Yellow lines mark the cluster redshift z = 0.228,  

Object #6221   x,y = (1908, 1500)   RA, Dec = (06:03:29.616, 42:08:56.40) = (90.87340, 42.14900)   BPZ = 0.025 [0.013--3.218]   type = 11.00 (SB11_A_0_l)   stellarity = 0.70   chisq2 = 184.10   ODDS = 0.37   z_cluster = 0.228