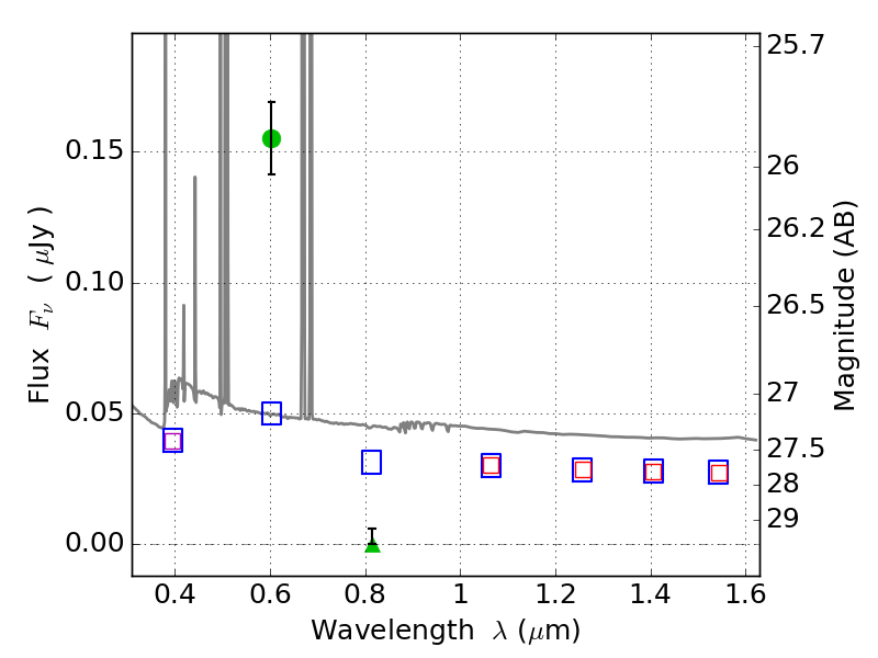
RXS0603+42-S IR detection object #6207

Color images and BPZ results
Catalog: 6207.cat
Black segments are analyzed here.   Roll mouse over color images to view segments.
Best viewed in a wide browser window (1200 pixels or more).   Download SED & P(z) plots to view larger versions.
In P(z) plots: Yellow lines mark the cluster redshift z = 0.228,  

Object #6207   x,y = (3729, 1509)   RA, Dec = (06:03:19.776, 42:08:56.76) = (90.83240, 42.14910)   BPZ = 0.024 [0.011--2.877]   type = 11.00 (SB11_A_0_l)   stellarity = 0.68   chisq2 = 75.47   ODDS = 0.48   z_cluster = 0.228