RXS0603+42-S IR detection object #6172

Color images and BPZ results
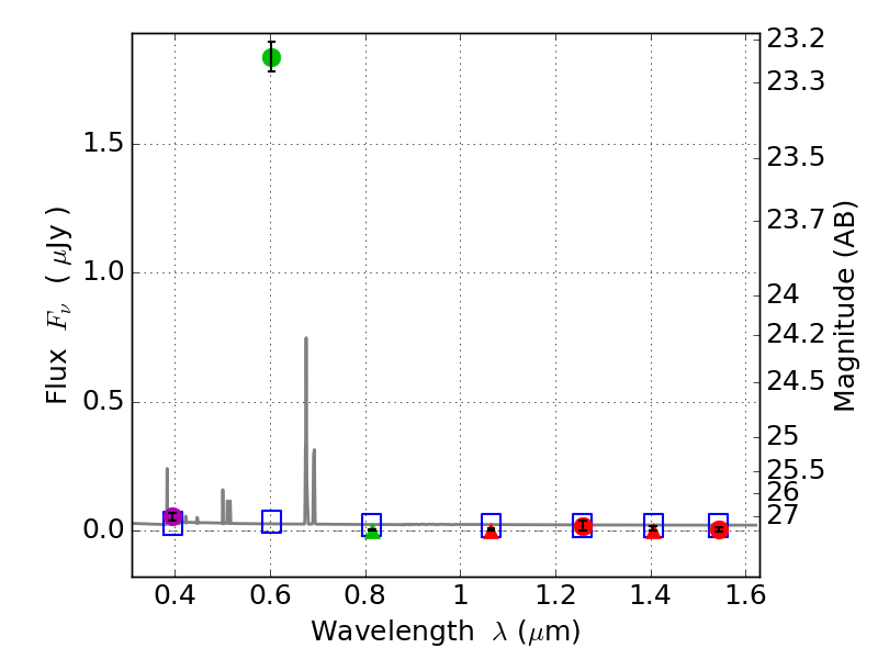
Catalog: 6172.cat
Black segments are analyzed here.   Roll mouse over color images to view segments.
Best viewed in a wide browser window (1200 pixels or more).   Download SED & P(z) plots to view larger versions.
In P(z) plots: Yellow lines mark the cluster redshift z = 0.228,  

Object #6172   x,y = (1821, 1529)   RA, Dec = (06:03:30.072, 42:08:58.20) = (90.87530, 42.14950)   BPZ = 0.026 [0.013--2.611]   type = 11.00 (SB11_A_0_l)   stellarity = 0.96   chisq2 = 250.80   ODDS = 0.40   z_cluster = 0.228