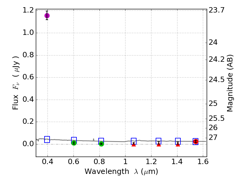
RXS0603+42-S IR detection object #6110

Color images and BPZ results
Catalog: 6110.cat
Black segments are analyzed here.   Roll mouse over color images to view segments.
Best viewed in a wide browser window (1200 pixels or more).   Download SED & P(z) plots to view larger versions.
In P(z) plots: Yellow lines mark the cluster redshift z = 0.228,  

Object #6110   x,y = (3570, 1553)   RA, Dec = (06:03:20.640, 42:08:59.64) = (90.83600, 42.14990)   BPZ = 1.700 [1.365--2.203]   type = 11.00 (SB11_A_0_l)   stellarity = 0.99   chisq2 = 204.00   ODDS = 0.41   z_cluster = 0.228