RXS0603+42-S IR detection object #6099

Color images and BPZ results
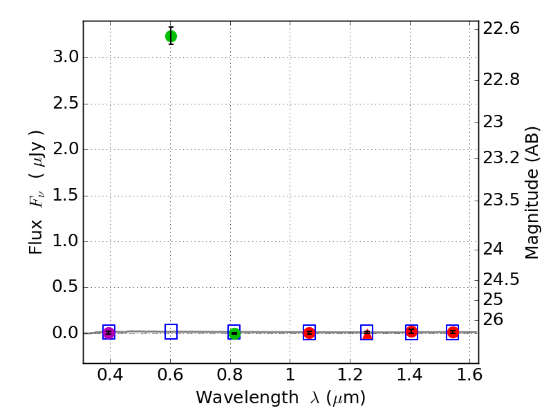
Catalog: 6099.cat
Black segments are analyzed here.   Roll mouse over color images to view segments.
Best viewed in a wide browser window (1200 pixels or more).   Download SED & P(z) plots to view larger versions.
In P(z) plots: Yellow lines mark the cluster redshift z = 0.228,  

Object #6099   x,y = (1749, 1562)   RA, Dec = (06:03:30.480, 42:09:0) = (90.87700, 42.15000)   BPZ = 2.723 [0.349--5.985]   type = 11.00 (SB11_A_0_l)   stellarity = 0.96   chisq2 = 281.90   ODDS = 0.12   z_cluster = 0.228