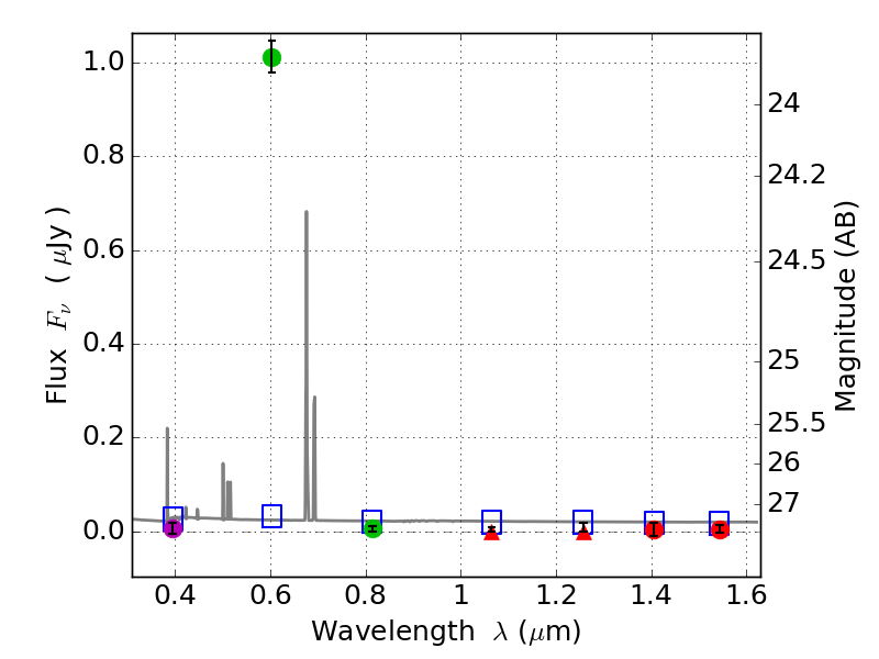
RXS0603+42-S IR detection object #6075

Color images and BPZ results
Catalog: 6075.cat
Black segments are analyzed here.   Roll mouse over color images to view segments.
Best viewed in a wide browser window (1200 pixels or more).   Download SED & P(z) plots to view larger versions.
In P(z) plots: Yellow lines mark the cluster redshift z = 0.228,  

Object #6075   x,y = (1765, 1572)   RA, Dec = (06:03:30.384, 42:09:00.72) = (90.87660, 42.15020)   BPZ = 0.028 [0.015--3.430]   type = 11.00 (SB11_A_0_l)   stellarity = 0.86   chisq2 = 202.50   ODDS = 0.24   z_cluster = 0.228