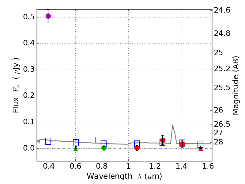
RXS0603+42-S IR detection object #5997

Color images and BPZ results
Catalog: 5997.cat
Black segments are analyzed here.   Roll mouse over color images to view segments.
Best viewed in a wide browser window (1200 pixels or more).   Download SED & P(z) plots to view larger versions.
In P(z) plots: Yellow lines mark the cluster redshift z = 0.228,  

Object #5997   x,y = (3616, 1611)   RA, Dec = (06:03:20.400, 42:09:02.88) = (90.83500, 42.15080)   BPZ = 1.695 [1.063--2.206]   type = 11.00 (SB11_A_0_l)   stellarity = 0.81   chisq2 = 101.20   ODDS = 0.50   z_cluster = 0.228