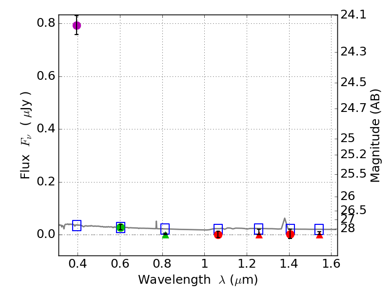
RXS0603+42-S IR detection object #5946

Color images and BPZ results
Catalog: 5946.cat
Black segments are analyzed here.   Roll mouse over color images to view segments.
Best viewed in a wide browser window (1200 pixels or more).   Download SED & P(z) plots to view larger versions.
In P(z) plots: Yellow lines mark the cluster redshift z = 0.228,  

Object #5946   x,y = (3669, 1633)   RA, Dec = (06:03:20.112, 42:09:04.32) = (90.83380, 42.15120)   BPZ = 1.763 [1.320--2.260]   type = 11.00 (SB11_A_0_l)   stellarity = 0.64   chisq2 = 119.50   ODDS = 0.45   z_cluster = 0.228