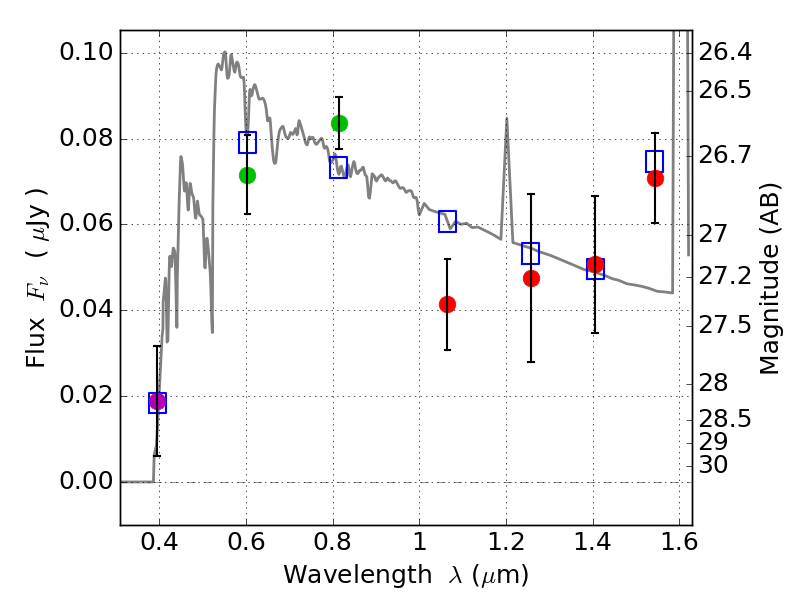
RXS0603+42-S IR detection object #5936

Color images and BPZ results
Catalog: 5936.cat
Black segments are analyzed here.   Roll mouse over color images to view segments.
Best viewed in a wide browser window (1200 pixels or more).   Download SED & P(z) plots to view larger versions.
In P(z) plots: Yellow lines mark the cluster redshift z = 0.228,  

Object #5936   x,y = (3055, 1641)   RA, Dec = (06:03:23.424, 42:09:04.68) = (90.84760, 42.15130)   BPZ = 3.302 [0.239--3.883]   type = 11.00 (SB11_A_0_l)   stellarity = 0.15   chisq2 = 1.25   ODDS = 0.63   z_cluster = 0.228