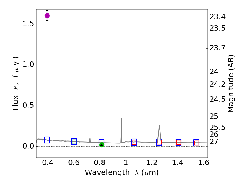
RXS0603+42-S IR detection object #5934

Color images and BPZ results
Catalog: 5934.cat
Black segments are analyzed here.   Roll mouse over color images to view segments.
Best viewed in a wide browser window (1200 pixels or more).   Download SED & P(z) plots to view larger versions.
In P(z) plots: Yellow lines mark the cluster redshift z = 0.228,  

Object #5934   x,y = (1235, 1641)   RA, Dec = (06:03:33.240, 42:09:04.68) = (90.88850, 42.15130)   BPZ = 1.594 [1.344--2.022]   type = 11.00 (SB11_A_0_l)   stellarity = 0.75   chisq2 = 633.30   ODDS = 0.46   z_cluster = 0.228