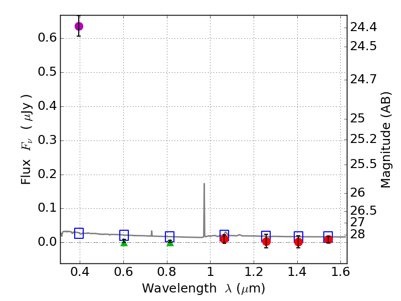
RXS0603+42-S IR detection object #5925

Color images and BPZ results
Catalog: 5925.cat
Black segments are analyzed here.   Roll mouse over color images to view segments.
Best viewed in a wide browser window (1200 pixels or more).   Download SED & P(z) plots to view larger versions.
In P(z) plots: Yellow lines mark the cluster redshift z = 0.228,  

Object #5925   x,y = (3668, 1645)   RA, Dec = (06:03:20.112, 42:09:05.04) = (90.83380, 42.15140)   BPZ = 1.612 [0.993--2.291]   type = 11.00 (SB11_A_0_l)   stellarity = 0.81   chisq2 = 105.70   ODDS = 0.32   z_cluster = 0.228