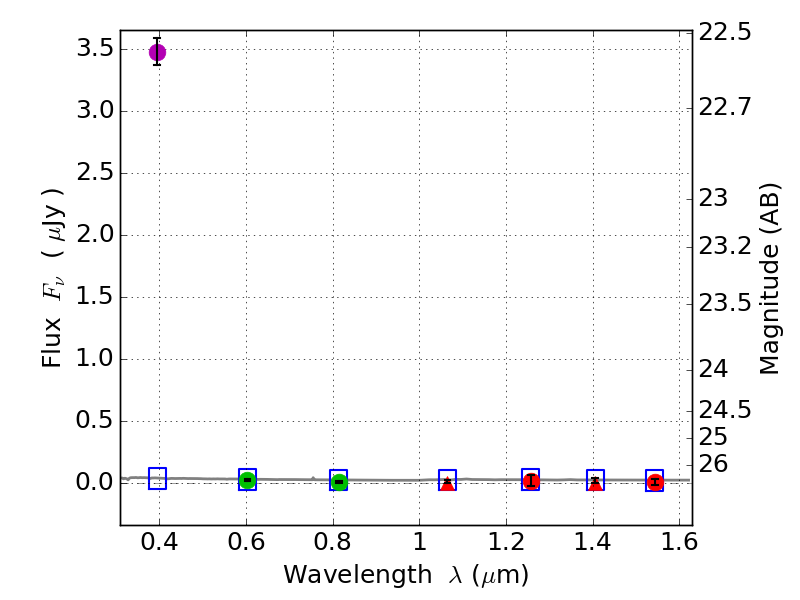
RXS0603+42-S IR detection object #5885

Color images and BPZ results
Catalog: 5885.cat
Black segments are analyzed here.   Roll mouse over color images to view segments.
Best viewed in a wide browser window (1200 pixels or more).   Download SED & P(z) plots to view larger versions.
In P(z) plots: Yellow lines mark the cluster redshift z = 0.228,  

Object #5885   x,y = (3698, 1673)   RA, Dec = (06:03:19.944, 42:09:06.84) = (90.83310, 42.15190)   BPZ = 1.699 [0.765--2.554]   type = 11.00 (SB11_A_0_l)   stellarity = 0.77   chisq2 = 261.70   ODDS = 0.28   z_cluster = 0.228