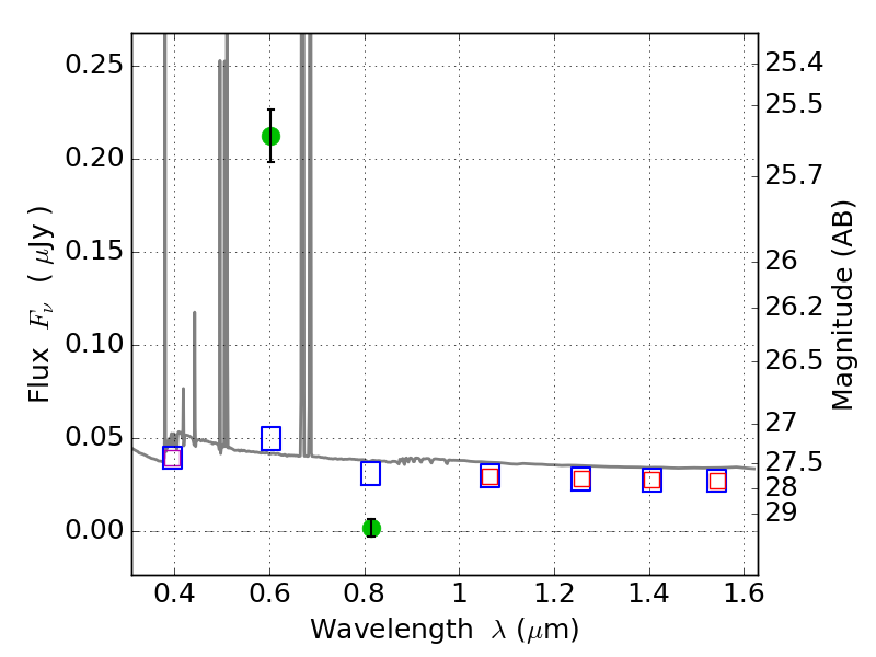
RXS0603+42-S IR detection object #581

Color images and BPZ results
Catalog: 581.cat
Black segments are analyzed here.   Roll mouse over color images to view segments.
Best viewed in a wide browser window (1200 pixels or more).   Download SED & P(z) plots to view larger versions.
In P(z) plots: Yellow lines mark the cluster redshift z = 0.228,  

Object #581   x,y = (2829, 4108)   RA, Dec = (06:03:24.648, 42:11:32.64) = (90.85270, 42.19240)   BPZ = 0.022 [0.010--2.613]   type = 11.00 (SB11_A_0_l)   stellarity = 0.98   chisq2 = 153.70   ODDS = 0.84   z_cluster = 0.228