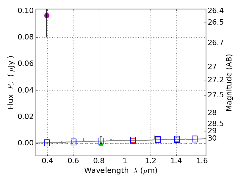
RXS0603+42-S IR detection object #5798

Color images and BPZ results
Catalog: 5798.cat
Black segments are analyzed here.   Roll mouse over color images to view segments.
Best viewed in a wide browser window (1200 pixels or more).   Download SED & P(z) plots to view larger versions.
In P(z) plots: Yellow lines mark the cluster redshift z = 0.228,  

Object #5798   x,y = (1077, 1716)   RA, Dec = (06:03:34.104, 42:09:09.36) = (90.89210, 42.15260)   BPZ = 0.361 [0.031--0.857]   type = 7.00 (Scd_B10)   stellarity = 0.39   chisq2 = 34.56   ODDS = 0.18   z_cluster = 0.228