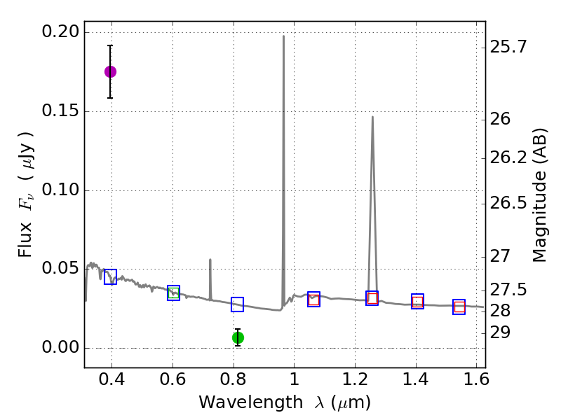
RXS0603+42-S IR detection object #5770

Color images and BPZ results
Catalog: 5770.cat
Black segments are analyzed here.   Roll mouse over color images to view segments.
Best viewed in a wide browser window (1200 pixels or more).   Download SED & P(z) plots to view larger versions.
In P(z) plots: Yellow lines mark the cluster redshift z = 0.228,  

Object #5770   x,y = (1071, 1729)   RA, Dec = (06:03:34.128, 42:09:10.08) = (90.89220, 42.15280)   BPZ = 1.594 [1.276--2.140]   type = 11.00 (SB11_A_0_l)   stellarity = 0.67   chisq2 = 71.06   ODDS = 0.38   z_cluster = 0.228