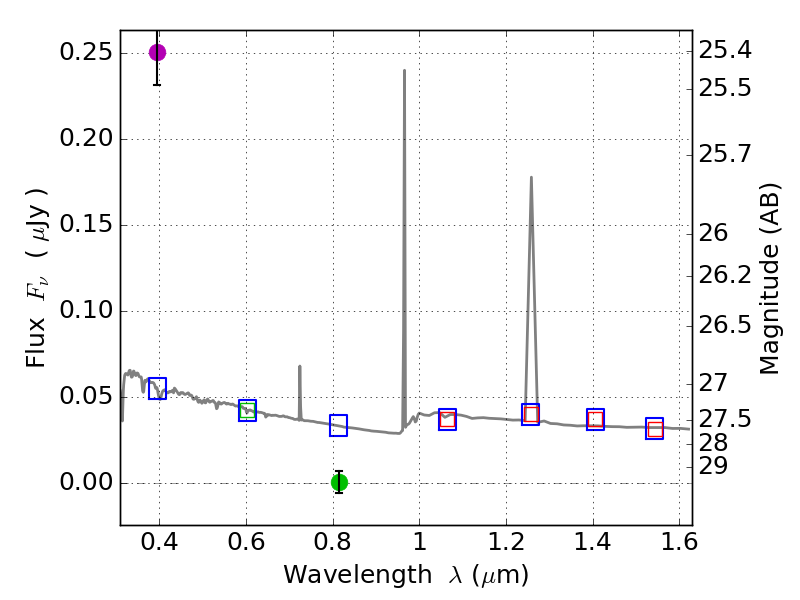
RXS0603+42-S IR detection object #5722

Color images and BPZ results
Catalog: 5722.cat
Black segments are analyzed here.   Roll mouse over color images to view segments.
Best viewed in a wide browser window (1200 pixels or more).   Download SED & P(z) plots to view larger versions.
In P(z) plots: Yellow lines mark the cluster redshift z = 0.228,  

Object #5722   x,y = (1008, 1744)   RA, Dec = (06:03:34.464, 42:09:10.80) = (90.89360, 42.15300)   BPZ = 1.595 [1.329--2.073]   type = 11.00 (SB11_A_0_l)   stellarity = 0.74   chisq2 = 116.30   ODDS = 0.42   z_cluster = 0.228