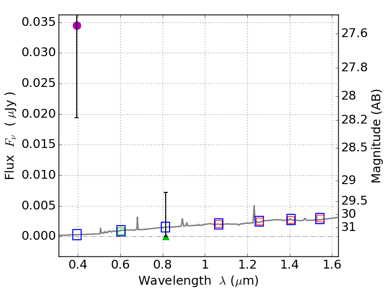
RXS0603+42-S IR detection object #5689

Color images and BPZ results
Catalog: 5689.cat
Black segments are analyzed here.   Roll mouse over color images to view segments.
Best viewed in a wide browser window (1200 pixels or more).   Download SED & P(z) plots to view larger versions.
In P(z) plots: Yellow lines mark the cluster redshift z = 0.228,  

Object #5689   x,y = (1066, 1753)   RA, Dec = (06:03:34.152, 42:09:11.52) = (90.89230, 42.15320)   BPZ = 0.362 [0.044--0.863]   type = 7.00 (Scd_B10)   stellarity = 0.99   chisq2 = 5.14   ODDS = 0.19   z_cluster = 0.228