RXS0603+42-S IR detection object #5669

Color images and BPZ results
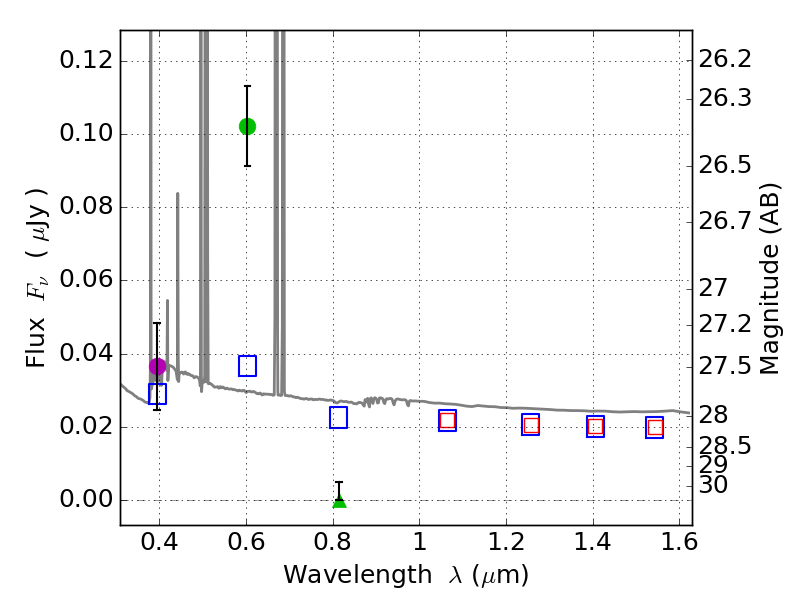
Catalog: 5669.cat
Black segments are analyzed here.   Roll mouse over color images to view segments.
Best viewed in a wide browser window (1200 pixels or more).   Download SED & P(z) plots to view larger versions.
In P(z) plots: Yellow lines mark the cluster redshift z = 0.228,  

Object #5669   x,y = (1281, 1764)   RA, Dec = (06:03:33.000, 42:09:12.24) = (90.88750, 42.15340)   BPZ = 0.025 [0.018--2.727]   type = 11.00 (SB11_A_0_l)   stellarity = 0.36   chisq2 = 51.41   ODDS = 0.12   z_cluster = 0.228