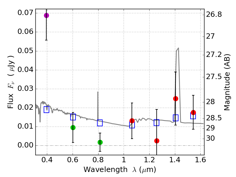
RXS0603+42-S IR detection object #5614

Color images and BPZ results
Catalog: 5614.cat
Black segments are analyzed here.   Roll mouse over color images to view segments.
Best viewed in a wide browser window (1200 pixels or more).   Download SED & P(z) plots to view larger versions.
In P(z) plots: Yellow lines mark the cluster redshift z = 0.228,  

Object #5614   x,y = (1853, 1788)   RA, Dec = (06:03:29.904, 42:09:13.68) = (90.87460, 42.15380)   BPZ = 1.851 [0.640--3.333]   type = 11.00 (SB11_A_0_l)   stellarity = 0.36   chisq2 = 4.95   ODDS = 0.17   z_cluster = 0.228