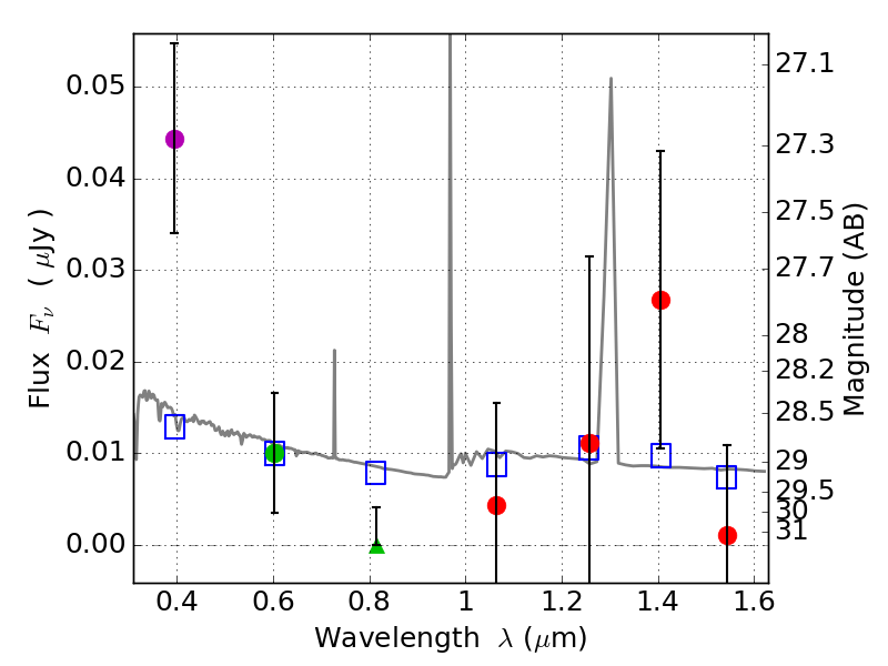
RXS0603+42-S IR detection object #5527

Color images and BPZ results
Catalog: 5527.cat
Black segments are analyzed here.   Roll mouse over color images to view segments.
Best viewed in a wide browser window (1200 pixels or more).   Download SED & P(z) plots to view larger versions.
In P(z) plots: Yellow lines mark the cluster redshift z = 0.228,  

Object #5527   x,y = (2147, 1834)   RA, Dec = (06:03:28.320, 42:09:16.20) = (90.86800, 42.15450)   BPZ = 1.599 [0.367--4.722]   type = 11.00 (SB11_A_0_l)   stellarity = 0.36   chisq2 = 3.57   ODDS = 0.14   z_cluster = 0.228