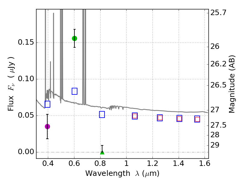
RXS0603+42-S IR detection object #551

Color images and BPZ results
Catalog: 551.cat
Black segments are analyzed here.   Roll mouse over color images to view segments.
Best viewed in a wide browser window (1200 pixels or more).   Download SED & P(z) plots to view larger versions.
In P(z) plots: Yellow lines mark the cluster redshift z = 0.228,  

Object #551   x,y = (2170, 4123)   RA, Dec = (06:03:28.200, 42:11:33.72) = (90.86750, 42.19270)   BPZ = 0.023 [0.010--0.054]   type = 11.00 (SB11_A_0_l)   stellarity = 0.35   chisq2 = 54.88   ODDS = 0.98   z_cluster = 0.228