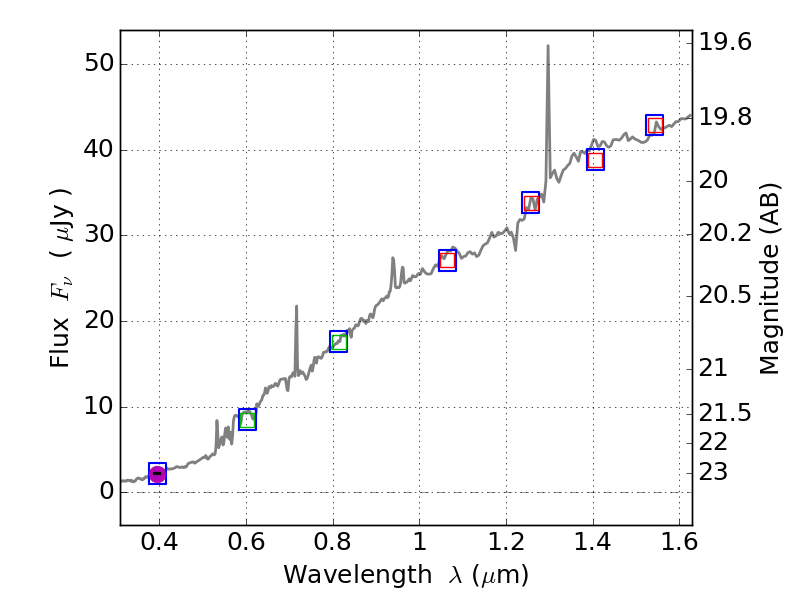
RXS0603+42-S IR detection object #5486

Color images and BPZ results
Catalog: 5486.cat
Black segments are analyzed here.   Roll mouse over color images to view segments.
Best viewed in a wide browser window (1200 pixels or more).   Download SED & P(z) plots to view larger versions.
In P(z) plots: Yellow lines mark the cluster redshift z = 0.228,  

Object #5486   x,y = (744, 1846)   RA, Dec = (06:03:35.880, 42:09:16.92) = (90.89950, 42.15470)   BPZ = 0.426 [0.051--0.865]   type = 6.30 (Sbc_B10 - Scd_B10)   stellarity = 1.00   chisq2 = 990.00   ODDS = 0.21   z_cluster = 0.228